Head-mounted display-based (HMD) vs desktop-based (DB) virtual reality anatomy: A preliminary usability study
Submitted: 22 July 2024
Accepted: 4 February 2025
Published online: 1 July, TAPS 2025, 10(3), 80-83
https://doi.org/10.29060/TAPS.2025-10-3/SC3470
Zaitunnatakhin Zamli1, Rohaini Ramli2, Hidayah Sulaiman2, Mohd Zulfaezal Che Azemin3, Wan Muhamad Salahudin Wan Salleh4, Nurul Asyiqin Yusof5, Imran Mahalil2 & Azmi Mohd. Yusof2
1Department of Biomedical Science, Kulliyyah of Allied Health Sciences, International Islamic University Malaysia, Malaysia; 2Department of Informatics, College of Computing & Informatics, Universiti Tenaga Nasional, Malaysia; 3Department of Optometry and Visual Sciences, Kulliyyah of Allied Health Sciences, International Islamic University Malaysia, Malaysia; 4Department of Basic Medical Sciences, Kulliyyah of Medicine, International Islamic University Malaysia, Malaysia; 5Department of Basic Medical Sciences, Kulliyyah of Pharmacy, International Islamic University Malaysia, Malaysia
Abstract
Introduction: Virtual reality (VR) has been widely used in medical and health sciences education since the late twentieth century. VR complements the conventional teaching and learning (T&L) approach by providing an engaging and immersive 3D spatial learning environment, especially for understanding the orientation of anatomical structures. Despite these advantages, the usability and student preference of highly immersive head-mounted display-based (HMD) and less immersive desktop-based (DB) VR in human anatomy courses have yet to be determined.
Methods: In a cross-sectional study, 49 Year-2 medical students were recruited through a convenient sampling. The participants were asked to identify 15 skeletal system components using the HMD and DB platform with human anatomy VR application. Both applications’ System Usability Scale (SUS) and preference scores were obtained via a self-administered questionnaire. The data were expressed as median [IQR] and statistically analysed using MATLAB R2022b.
Results: Most participants preferred the HMD over the DB platform (p=0.04), especially the male participants (p=0.01). There was no significant difference in overall SUS scores between both platforms (p=0.14). However, when compared within and between genders, females scored significantly higher in the DB than HMD (p=0.02) and higher than males’ DB SUS scores (p=0.03).
Conclusion: The overall usability of HMD was comparable with the DB platform for learning human anatomy. Although most participants prefer to use the HMD, further exploration of why females prefer the DB is needed. Subsequently, VR application developers must consider gender-related adaptions to promote the equitability and inclusivity of the technology for all users.
Keywords: Human Anatomy, Virtual Reality, Head-mounted Display, Desktop-based Application, Usability, Preference
I. INTRODUCTION
Virtual reality (VR) is a simulated three-dimensional (3D) environment that enables users to explore and interact with virtual surroundings, perceiving them through their senses as if they were in the real world. It has been widely used in various fields, including education, to provide users with immersive, engaging, and experiential learning experiences.
In medical education, VR allows students to manipulate anatomical structures into different planes, sections and orientations in a simulated environment, benefiting learners with low-spatial ability. VR also helps students better grasp the relative size differences of organs and allows students to relate the location and position of the organs with their surroundings, resulting in better memorisation and learning outcomes, with VR groups outperforming control groups in post-test assessments (Kurul et al., 2020). As the current generation is more digitally savvy, most students are easily adapted to VR simulation, which enables them to grasp knowledge from a new perspective. For instance, students can dissect a muscle from the human body, gaining insight into the interaction and innervation of individual muscles during exercise.
However, despite the high acceptability of use in anatomy courses among students, some participants reported simulator sickness symptoms like headaches, dizziness, and blurred vision. These symptoms are more pronounced in females, who tend to experience discomfort in a VR environment (Stanney et al., 2020), potentially due to differences in spatial awareness, sensitivity to sensory stimuli, or physiological responses. In addition, regardless of gender, the mismatch between visual motion and the body’s sensory feedback in VR environments can lead to sensory conflict and an increased likelihood of discomfort.
While VR modalities show great potential in anatomy education, research comparing highly immersive head-mounted display-based (HMD) with less immersive desktop-based (DB) VR platforms, particularly regarding gender differences in usability and preferences, remains limited. In addition, considering the high cost of VR applications for HMD, addressing this knowledge gap before its development is crucial to ensuring optimal and cost-effective learning outcomes for a diverse student population. Therefore, this study aimed to compare the usability and preferences between DB and HMD platforms in exploring the VR anatomy applications, within and between genders, among medical students.
II. METHODS
Upon their written consent, forty-nine undergraduate medical students (23 males and 26 females, aged 19-21 years) were recruited through a convenience sampling. They were second-year medical students and participated in this study in two sessions. The participants were asked to identify 15 skeletal components (i.e. skull, vertebrae, hyoid bone, sternum, ribs, scapula, clavicle, humerus, radius, ulna, hip bone, femur, patella, tibia, and fibula) using two platforms: a head-mounted display-based (HMD) virtual reality system with the human anatomy VR application (BodyMap v3.2, https://www.mai.ai/bodymap), and a desktop-based (DB) application (Zygote Body, https://www.zygotebody.com/). BodyMap v3.2 is a VR application for exploring the human body in 3D using the Oculus Quest 2 headset, which provides an immersive and interactive experience for anatomy education. Meanwhile, Zygote Body is a web-based platform that offers detailed 3D anatomical models for desktop or laptop exploration.
Each platform was given a time limit of 15 minutes for the participants to complete the task. After completing the task, the participants completed the System Usability Scale (SUS), a 10-item questionnaire designed to measure the perceived usability of both platforms. The SUS score ranges from 0 (very poor usability) to 100 (perfect usability). In addition, the participants were also asked to rate their preference for using each platform on a scale from 1 (do not prefer at all) to 10 (most preferred). The data were expressed as median (interquartile range, IQR), which best represents the central tendency for non-normally distributed data. Normality was assessed using the Kolmogorov-Smirnov test, and the Wilcoxon signed-rank tests were used to compare the median scores of SUS / Preferences within and between genders. All statistical analyses were performed using MATLAB R2022b, with a p-value < 0.05 considered statistically significant.
III. RESULTS
A. Demographic Data
Forty-nine Year-2 IIUM medical students participated in this study. Most of the students were female (n=26, 53%), with a mean age of 20.10 ± 0.37 years old.
B. Comparison of SUS and Preference Scores between the HMD and DB
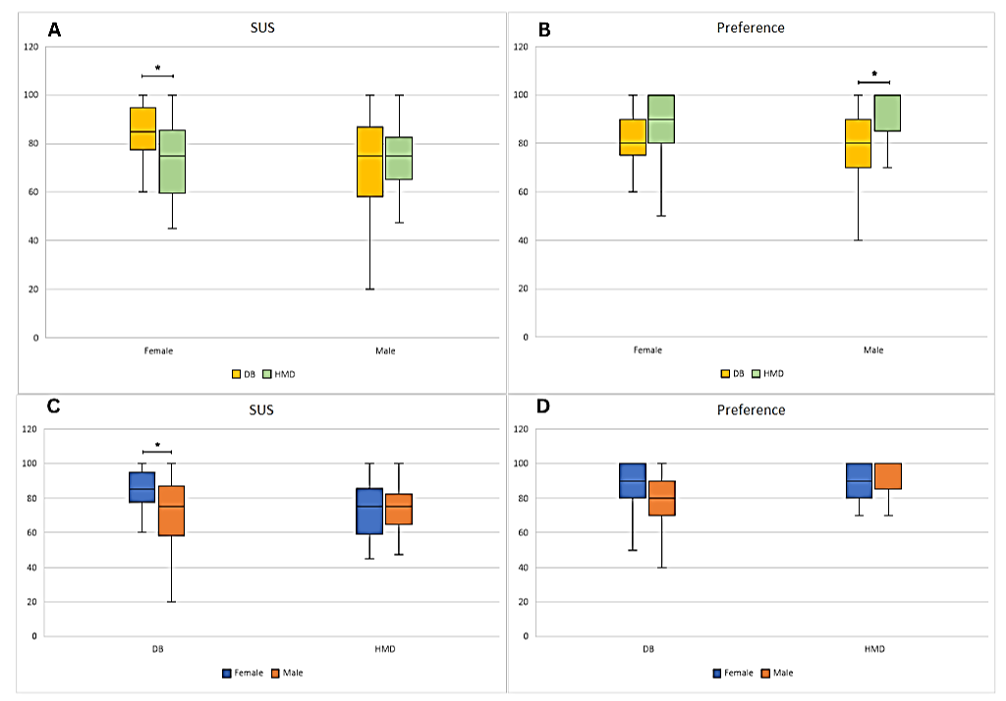
There was no significant difference between the median SUS scores between the HMD and DB applications (p=0.14). However, most students preferred the HMD (90, IQR 80.0-100.0) rather than the DB (80, IQR 75.0-90.0) applications (p=0.04).
C. Comparison of SUS and Preference Scores of the HMD and DB within and between Gender
The SUS and preference scores of the HMD and DB applications within and between genders are shown in Figure 1, and individual scores are accessible at https://doi.org/10.6084/m9.figshare.26711965. Based on gender, significantly higher median SUS scores were observed for the DB (85, IQR 77.5-95.0) than the HMD application (75, IQR 59.4-85.6) among the female students (p=0.02). In contrast, the male students had a significantly higher preference score for the HMD (100, IQR 85.0-100.0) than the DB application (80, IQR 70.0-90.0) (p=0.01). A significant difference between gender was only observed in the SUS score, in which the female students scored 85 (IQR, 77.5 – 95.0), and the male students scored 75 (IQR, 58.1 – 86.9; p=0.03) for the DB application.

Figure 1. Comparison of SUS and Preference median scores of the HMD and DB application within (A-B) and between genders (C-D). A significant difference of p≤0.05 is denoted as *.
IV. DISCUSSION
This study found that the overall usability scores of the head-mounted display-based (HMD) and the desktop-based (DB) in human anatomy VR applications are comparable. However, a significant gender-related difference was observed in the reported usability scores of the HMD. Female participants reported significantly better usability with the DB than the HMD, likely due to their unfamiliarity with the HMD modality and disadvantage in the 3D spatial ability than males in visualising and manipulating objects in the navigating space. While traditional explanations link these gender differences to brain lateralisation, Bartlett and Camba (2023) challenge this view, suggesting societal expectations and gender roles may shape spatial skills.
Despite this, the study also found that most participants, especially males, prefer the HMD over the DB. This preference might be due to males’ active engagement and early adaptation to the technology, particularly in online gaming, making it more intuitive. This aligns with Deisinger et al. (1997), who found that inexperienced users favoured screen-based projection due to their familiarity with the conventional technology over the HMD. Interestingly, although females perceived DB as more usable, this did not significantly affect their preference for HMD. Many females acknowledged needing more technical help with the HMD but believed they would quickly adapt and prefer it over time. The study’s findings resonate with prior research in medical education, where HMDs are favoured for their immersive experience, enhancing spatial or physical presence and interaction as compared to DB (Yamazaki et al., 2021). However, the effectiveness of HMDs in improving learning outcomes compared to traditional methods remains inconclusive.
Given HMDs’ potential to enhance anatomy education, further research is crucial, especially in complex topics like embryology and neuroanatomy. Developers must focus on high content quality, intuitive user interfaces, and user comfort to ensure a positive learning experience. Gender-related adaptations can promote inclusivity, ensuring that the educational benefits of HMDs are accessible to all users.
Three main limitations of the present study also warrant mention. First, we used the available human anatomy VR applications from two developers, which may have different image quality of VR. However, both VR applications are comparable in terms of content quality. Second, we have not explored their reasons for high preference for utilising HMD when exploring human anatomy VR, potentially limiting our understanding of the user experience (e.g. comfort, immersion, satisfaction, and overall interaction) related to HMD usage. Third, participants’ previous experience using HMD in other platforms, such as gaming, virtual tours, etc, was not determined. Future studies should consider these limitations to understand user experiences with the HMD platform better and identify factors influencing user preferences.
V. CONCLUSION
In summary, this study concluded that the usability of both HMD and DB in exploring the human anatomy VR application is almost similar. As seen in other studies, students tend to favour HMD over DB because of its immersive, interactive, and engaging features. However, at an individual level, gender may influence their perception of its usability and preference. Therefore, it is essential to take gender-related adaptations into account when developing VR applications.
Notes on Contributors
Zaitunnatakhin Zamli reviewed the literature, designed the study, performed data collection and analysis, and developed the manuscript. The author has read, given critical feedback and approved the final manuscript.
Nurul Asyiqin Yusof reviewed the literature, designed the study, performed data collection and analysis, and developed the manuscript. The author has read, given critical feedback and approved the final manuscript.
Azmi Mohd Yusof reviewed the literature, designed the study, performed data collection and analysis, and developed the manuscript. The author has read, given critical feedback and approved the final manuscript.
Wan Muhamad Salahudin Wan Salleh designed the study and performed data collection, analysis and interpretation. The author has read, given critical feedback and approved the final manuscript.
Mohd Zulfaezal Che Azemin designed the study and performed data collection, analysis and interpretation. The author has read, given critical feedback and approved the final manuscript.
Rohaini Ramli advised on study design and data interpretation. The author has read, given critical feedback and approved the final manuscript.
Hidayah Sulaiman advised on study design and data interpretation. The author has read, given critical feedback and approved the final manuscript.
Imran Mahalil facilitated the data collection process. The author has read, given critical feedback and approved the final manuscript.
Ethical Approval
Ethical approval of this study was granted by the Kulliyyah Postgraduate and Research Committee (IIUM/305/20/4/1/7) and IIUM Research Ethics Committee (IREC) (IIUM/504/14/11/2/IREC2022-194). All participants involved in the study had given their written consent, and their participation was voluntary.
Data Availability
The data of this study data are available at a Figshare repository, https://doi.org/10.6084/m9.figshare.26711965
Acknowledgement
The authors would like to thank the Department of Informatics, College of Computing & Informatics, Universiti Tenaga Nasional, Selangor, Malaysia, for providing equipment, software and logistics support.
Funding
This study did not receive any funding or financial support.
Declaration of Interest
The authors declare that there are no conflicts of interest regarding the publication of this paper.
References
Bartlett, K. A., & Camba, J. D. (2023). Gender differences in spatial ability: A critical review. Educational Psychology Review, 35(1), Article 8. https://doi.org/10.1007/s10648-023-09728-2
Deisinger, J., Cruz-Neira, C., Riedel, O., & Symanzik, J. (1997). The effect of different viewing devices for the sense of presence of immersion in virtual environments: A comparison of stereoprojections based on monitors, HMDs and screens. Proceedings of the Seventh International Conference on Human-Interaction Computer, (2), 881-884. https://www.usu.edu/math/symanzik/papers/1997_HCI_Int.html
Kurul, R., Ögün, M. N., Narin, A. N., Avci, Ş., & Yazgan, B. (2020). An alternative method for anatomy training: Immersive virtual reality. Anatomical Sciences Education, 13(5), 648-656. https://doi.org/10.1002/ase.1959
Stanney, K., Fidopiastis, C., & Foster, L. (2020). Virtual reality is sexist: But it does not have to be. Frontiers in Robotics and AI, 7, 476417 https://doi.org/10.3389/frobt.2020.00004
Yamazaki, A., Ito, T., Sugimoto, M., Yoshida, S., Honda, K., Kawashima, Y., Fujikawa, T., Fujii, Y., & Tsutsumi, T. (2021). Patient-specific virtual and mixed reality for immersive, experiential anatomy education and for surgical planning in temporal bone surgery. Auris Nasus Larynx, 48(6), 1081-1091. https://doi.org/10.1016/j.anl.2021.03.009
*Azmi Mohd. Yusof
Jalan IKRAM-UNITEN,
43000 Kajang,
Selangor, Malaysia
Email: azmiy@uniten.edu.my
Announcements
- Best Reviewer Awards 2025
TAPS would like to express gratitude and thanks to an extraordinary group of reviewers who are awarded the Best Reviewer Awards for 2025.
Refer here for the list of recipients. - Most Accessed Article 2025
The Most Accessed Article of 2025 goes to Analyses of self-care agency and mindset: A pilot study on Malaysian undergraduate medical students.
Congratulations, Dr Reshma Mohamed Ansari and co-authors! - Best Article Award 2025
The Best Article Award of 2025 goes to From disparity to inclusivity: Narrative review of strategies in medical education to bridge gender inequality.
Congratulations, Dr Han Ting Jillian Yeo and co-authors! - Best Reviewer Awards 2024
TAPS would like to express gratitude and thanks to an extraordinary group of reviewers who are awarded the Best Reviewer Awards for 2024.
Refer here for the list of recipients. - Most Accessed Article 2024
The Most Accessed Article of 2024 goes to Persons with Disabilities (PWD) as patient educators: Effects on medical student attitudes.
Congratulations, Dr Vivien Lee and co-authors! - Best Article Award 2024
The Best Article Award of 2024 goes to Achieving Competency for Year 1 Doctors in Singapore: Comparing Night Float or Traditional Call.
Congratulations, Dr Tan Mae Yue and co-authors! - Best Reviewer Awards 2023
TAPS would like to express gratitude and thanks to an extraordinary group of reviewers who are awarded the Best Reviewer Awards for 2023.
Refer here for the list of recipients. - Most Accessed Article 2023
The Most Accessed Article of 2023 goes to Small, sustainable, steps to success as a scholar in Health Professions Education – Micro (macro and meta) matters.
Congratulations, A/Prof Goh Poh-Sun & Dr Elisabeth Schlegel! - Best Article Award 2023
The Best Article Award of 2023 goes to Increasing the value of Community-Based Education through Interprofessional Education.
Congratulations, Dr Tri Nur Kristina and co-authors! - Best Reviewer Awards 2022
TAPS would like to express gratitude and thanks to an extraordinary group of reviewers who are awarded the Best Reviewer Awards for 2022.
Refer here for the list of recipients. - Most Accessed Article 2022
The Most Accessed Article of 2022 goes to An urgent need to teach complexity science to health science students.
Congratulations, Dr Bhuvan KC and Dr Ravi Shankar. - Best Article Award 2022
The Best Article Award of 2022 goes to From clinician to educator: A scoping review of professional identity and the influence of impostor phenomenon.
Congratulations, Ms Freeman and co-authors.









